dvbbs
English
手机APP
Help帮助
dvbbs
恢复默认设置
登录
注册
搜索
论坛展区
VIP申请
论坛索币转账
索币转CS帐号
索币兑换娱乐币
赞助索沛(1元=100索币)
Paypal Payment
免费领红包活动
代理商
道具:月饼手雷
转帐充值
正规军
游击队
抢地盘
开战队
SP投票选举
游戏托管/代练
战队公会
服务器日志
待判决案件
案底/Demo查询
帐号申诉(忘记密码或密保)
版块禁言
案底日志
骰子挑战(11种组合)
抢军火(新版)
军火库(旧版)
娱乐
战绩排行
黑榜提名
排名
CS1.6客户端下载
刷服补丁
sXe反作弊
CS中文打字器
下载
争霸赛
服务器IP
我要买
我要卖
充值RMB人民币
游戏卡管理
交易/游戏卡
1印度IN(
www.sorpack.com
)
2香港HK(
sorpack.com
)
3新加坡SG(
go5w.com
)
4韩国KR(
01ll.com
)
5备用SP(
sk00.com
)
6大陆华中(
湖北
)
7大陆华东(
浙江
)
8大陆华西(
四川
)
9大陆华北(
北京
)
10大陆华南(
福建
)
11索沛机器人(
AI问答
)
12国外线路
线路
我能做什么
>> 让游戏更简单, 更欢乐 - for easier and more enjoyable gaming
搜一搜更多此类问题
索沛CS1.6论坛 CS反作弊 CS1.6下载 amxx sma插件 cs对战平台
→
索沛各大模式讨论专区
→
游击队根据地
→
Hurri.canE
您是本帖的第
755
个阅读者
树形
打印
标题:
1=5, 2=25, 3= 50, 4=2500 , 5=?
Zak
头衔:大西瓜
等级:警长
索币:11
文章:3546
RMB:
0¥
战队:
Hurri.canE
注册:2010年5月1日
第
11
楼
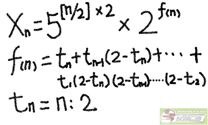
此主题相关图片如下:
大概算了一下通项公式,前面一项算出来了,后面一项化简有些复杂,就不算了
其中
t
n
数列就是:1 0 1 0 1 0 1 0 1 0
此主题相关图片如下:
[此贴子已经被作者于2012-3-29 20:43:54编辑过]
Hurri.canE 歡迎您的加入
welcome to Hurri.canE
2012-03-29 19:54:00
★【捐助1元可获得100索币+挤服通道】
Dark_tiger
头衔:【T.L】汤虎
等级:督察
索币:6
文章:5256
RMB:
0¥
战队:逃兵
注册:2011年9月23日
第
12
楼
用户已被锁定
2012-03-29 19:57:00
★【捐助1元可获得100索币+挤服通道】
x26163600
等级:农民
索币:87
文章:84
RMB:
0¥
战队:逃兵
注册:2012年3月25日
第
13
楼
不懂啊,我也是低文化
2012-03-29 20:03:00
★赠送VIP帐号【无需发20贴以及等待2天】
cup1hf
头衔:杯子君
等级:警长
索币:212
文章:4803
RMB:
0¥
战队:
Team.Onely
注册:2009年12月2日
第
14
楼
213???
只想简简单单的游戏!冰族成收各路混战,死斗玩家
2012-03-29 20:05:00
★【没时间发帖也可以获得上万索币】
Avenger_the1
等级:保安
索币:38
文章:477
RMB:
0¥
战队:逃兵
注册:2012年2月3日
第
15
楼
see ah
I can help
图片签名
2012-03-29 20:08:00
★索沛游戏卡【免费赠送10万游戏币】
Harry_rex
头衔:正声望专属【武】
等级:总经理
索币:1024
文章:1123
RMB:
0¥
战队:逃兵
注册:2011年10月29日
第
16
楼
2012-03-29 20:13:00
★索币冲值方式【充值卡/Q币/游戏卡】
Neo_
头衔:世界の終わり
等级:保安
索币:8
文章:390
RMB:
0¥
战队:
Hurri.canE
注册:2011年12月8日
第
17
楼
1=5 so 5=1
2012-03-29 20:17:00
★赠送VIP帐号【无需发20贴以及等待2天】
a8682723
头衔:DEV!L--草包
等级:富商
索币:490
文章:2624
RMB:
0¥
战队:逃兵
注册:2010年3月27日
第
18
楼
看
2012-03-29 20:21:00
★【捐助1元可获得100索币+挤服通道】
yamada
头衔:【无赖】★やめて
等级:农民
索币:4
文章:80
RMB:
0¥
战队:
J.Z
注册:2012年3月11日
第
19
楼
用户已被锁定
2012-03-29 20:34:00
★赠送VIP帐号【无需发20贴以及等待2天】
david4kong
头衔:【木子】空
等级:总经理
索币:31
文章:1096
RMB:
0¥
战队:
Amanda.muzi
注册:2011年5月7日
第
20
楼
5000
2012-03-29 20:35:00
★赠送VIP帐号【无需发20贴以及等待2天】
35
10
2/4页
1
2
3
4
快速回复:
1=5, 2=25, 3= 50, 4=2500 , 5=?
发贴表情
内容限制:
字节.
发短信
我能做什么
我发表的主题
我参与的主题
基本资料修改
用户密码修改
联系资料修改
用户短信服务
编辑好友列表
用户收藏管理
个人文件管理
今日贴数图例
主题数图例
总帖数图例
在线图例
在线情况
用户组在线图例
文件集浏览
图片集浏览
Flash浏览
音乐集浏览
电影集浏览
贺卡发送
©
2007
sorpack
.Com
Powered By
Dvbbs
Version 7.1.0 Sp1
页面执行时间 0.31198 秒, 4 次数据查询